Упр.11.30 ГДЗ Мерзляк 11 класс Углубленный уровень (Алгебра)
Решение #1

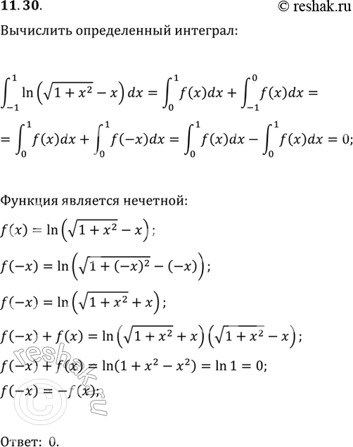
Рассмотрим вариант решения задания из учебника Мерзляк, Номировский, Поляков 11 класс, Вентана-Граф, Просвещение:
11.30. Найдите (-1; 1)ln(v(1+x^2)-x)dx.
*размещая тексты в комментариях ниже, вы автоматически соглашаетесь с пользовательским соглашением