Упр.129 ГДЗ Никольский Потапов 9 класс (Алгебра)

Решение #1

Изображение 129. а) Если число х расположено между числами 1 и 3, то какой знак имеет каждый из двучленов х - 1 и х - 3?б) Если число х расположено между числами -3 и -1, то...

Решение #2

Изображение 129. а) Если число х расположено между числами 1 и 3, то какой знак имеет каждый из двучленов х - 1 и х - 3?б) Если число х расположено между числами -3 и -1, то...

Рассмотрим вариант решения задания из учебника Никольский, Потапов 9 класс, Просвещение:
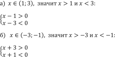
129.
а) Если число х расположено между числами 1 и 3, то какой знак имеет каждый из двучленов х - 1 и х - 3?

б) Если число х расположено между числами -3 и -1, то какой знак имеет каждый из двучленов х + З и х+1?
*Цитирирование задания со ссылкой на учебник производится исключительно в учебных целях для лучшего понимания разбора решения задания.
*размещая тексты в комментариях ниже, вы автоматически соглашаетесь с пользовательским соглашением