Упр.13.29 ГДЗ Мерзляк 11 класс Углубленный уровень (Алгебра)
Решение #1

Рассмотрим вариант решения задания из учебника Мерзляк, Номировский, Поляков 11 класс, Вентана-Граф, Просвещение:
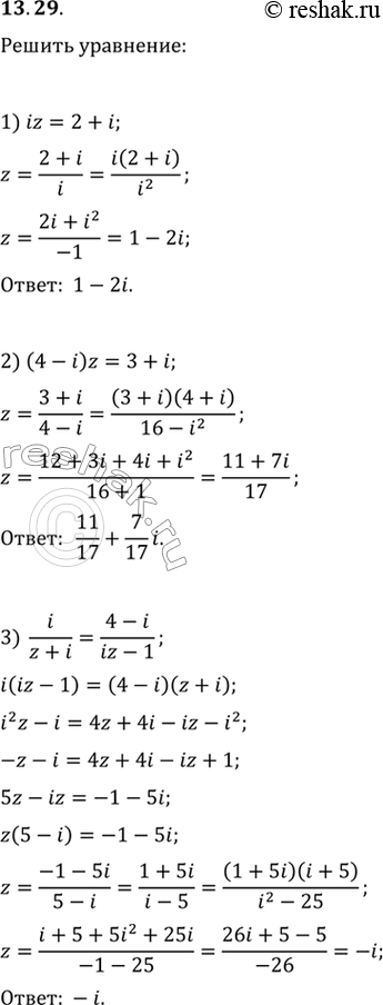
13.29. Решите уравнение:
1) iz=2+i; 2) (4-i)z=3+i; 3) i/(z+i)=(4-i)/(iz-1).
*размещая тексты в комментариях ниже, вы автоматически соглашаетесь с пользовательским соглашением