Упр.164 ГДЗ Колягин Ткачёва 7 класс (Алгебра)
Решение #1

Рассмотрим вариант решения задания из учебника Колягин, Ткачёва, Фёдорова 7 класс, Просвещение:
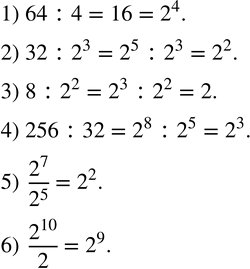
164. Записать в виде степени с основанием 2:
1) 64:4; 2) 32:2^3; 3) 8:2^2; 4) 256:32; 5) 2^7/2^5 ; 6) 2^10/2.
*размещая тексты в комментариях ниже, вы автоматически соглашаетесь с пользовательским соглашением