Упр.170 ГДЗ Колягин Ткачёва 7 класс (Алгебра)
Решение #1

Рассмотрим вариант решения задания из учебника Колягин, Ткачёва, Фёдорова 7 класс, Просвещение:
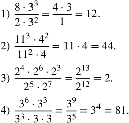
170. Вычислить:
1) (8•3^3)/(2•3^2 );
2) (?11?^3•4^2)/(?11?^2•4);
3) (2^4•2^6•2^3)/(2^5•2^7 );
4) (3^6•3^3)/(3^3•3•3).
*размещая тексты в комментариях ниже, вы автоматически соглашаетесь с пользовательским соглашением