Упр.215 ГДЗ Никольский Потапов 7 класс (Алгебра)
Решение #1
Решение #2

Рассмотрим вариант решения задания из учебника Никольский, Потапов 7 класс, Просвещение:
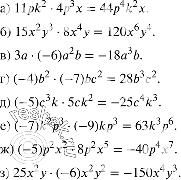
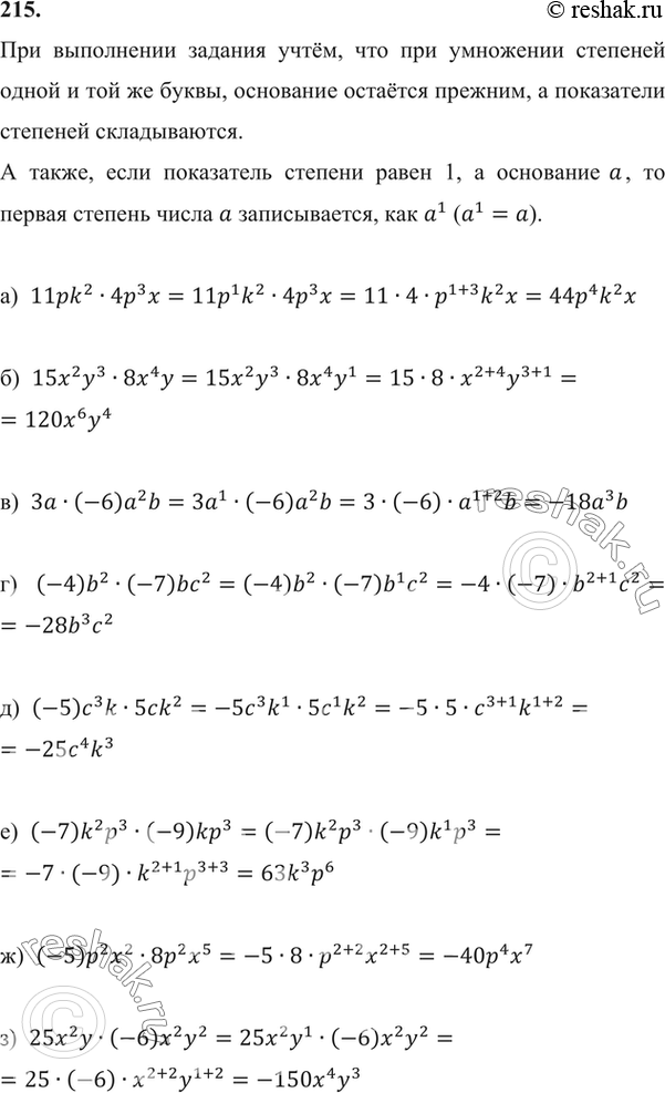
215 а) 11pk2*4p3x;
б) 15x2y3*8x4y;
в) 3a*(-6)a2b;
г) (-4)b2*(-7)bc2;
д) (-5)c2k*5ck2;
е) (-7)k2p3*(-9)kp3;
ж) (-5)p2x2*8p2x5;
з) 25x2y*(-6)x2y2.
*размещая тексты в комментариях ниже, вы автоматически соглашаетесь с пользовательским соглашением