Упр.228 ГДЗ Колягин Ткачёва 9 класс (Алгебра)
Решение #1

Рассмотрим вариант решения задания из учебника Колягин, Ткачёва, Фёдорова 9 класс, Просвещение:
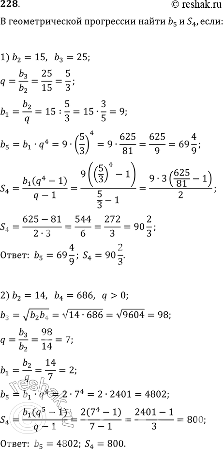
228. В геометрической прогрессии найти b_5 и S_4, если:
1) b_2=15, b_3=25; 2) b_2=14, b_4=686, q>0.
*размещая тексты в комментариях ниже, вы автоматически соглашаетесь с пользовательским соглашением