Упр.231 ГДЗ Никольский Потапов 9 класс (Алгебра)

Решение #1

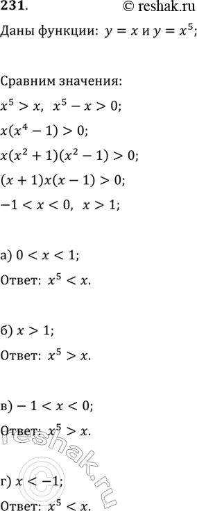
Изображение 231. Сравните значения функций у = х и у = х^5 при значениях аргумента: а) 0 < х < 1;	б) х > 1; в) -1 < х < 0; г)...

Решение #2

Изображение 231. Сравните значения функций у = х и у = х^5 при значениях аргумента: а) 0 < х < 1;	б) х > 1; в) -1 < х < 0; г)...

Рассмотрим вариант решения задания из учебника Никольский, Потапов 9 класс, Просвещение:
231. Сравните значения функций у = х и у = х^5 при значениях аргумента: а) 0 < х < 1; б) х > 1; в) -1 < х < 0; г) х<—1.
*Цитирирование задания со ссылкой на учебник производится исключительно в учебных целях для лучшего понимания разбора решения задания.
*размещая тексты в комментариях ниже, вы автоматически соглашаетесь с пользовательским соглашением