Упр.232 ГДЗ Колягин Ткачёва 7 класс (Алгебра)
Решение #1

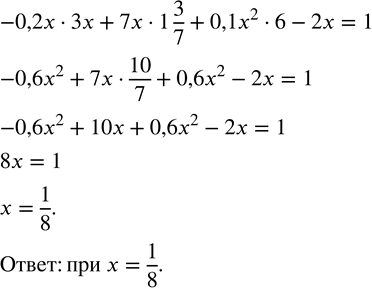
Рассмотрим вариант решения задания из учебника Колягин, Ткачёва, Фёдорова 7 класс, Просвещение:
232. При каком значении x значение многочлена -0,2x•3x+7x•1 3/7+0,1x^2•6-2x равно 1.
*размещая тексты в комментариях ниже, вы автоматически соглашаетесь с пользовательским соглашением