Упр.26.26 ГДЗ Мерзляк 11 класс Углубленный уровень (Алгебра)
Решение #1

Рассмотрим вариант решения задания из учебника Мерзляк, Номировский, Поляков 11 класс, Вентана-Граф, Просвещение:
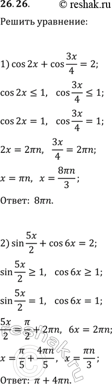
26.26. Решите уравнение:
1) cos(2x)+cos(3x/4)=2; 2) sin(5x/2)+cos(6x)=2.
*размещая тексты в комментариях ниже, вы автоматически соглашаетесь с пользовательским соглашением