Упр.28.13 ГДЗ Мордкович Семенов 7 класс (Алгебра)
Решение #1

Рассмотрим вариант решения задания из учебника Мордкович, Семенов, Александрова 7 класс, Бином:
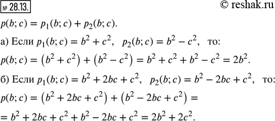
28.13. Найдите p(b; c) = p_1 (b; c) + р_2 (b; c), если:
а) P_1 (b; c) = b^2 + c^2, р_2 (b; c) = b^2 - c^2;
б) P_1 (b; c) = b^2 + 2bc + c^2, р_2 (b; c) = b^2 -2 bc + c^2.
*размещая тексты в комментариях ниже, вы автоматически соглашаетесь с пользовательским соглашением