Упр.28.17 ГДЗ Мордкович Семенов 9 класс (Алгебра)
Решение #1

Рассмотрим вариант решения задания из учебника Мордкович, Семенов, Александрова 9 класс, Бином:
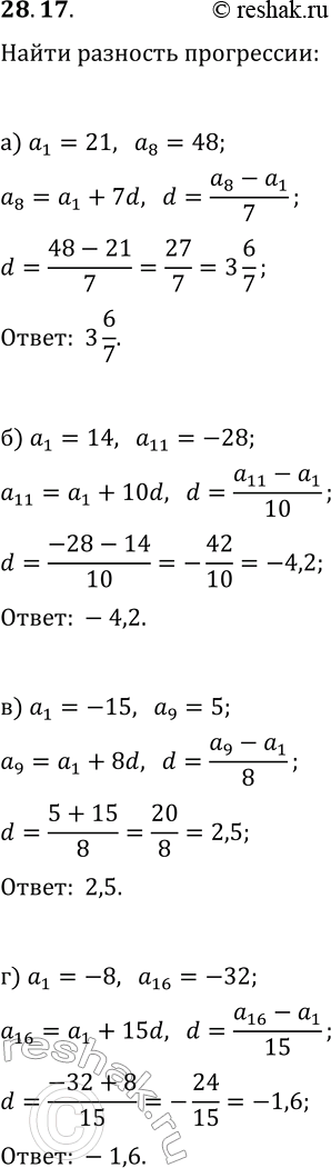
28.17. Найдите разность арифметической прогрессии (a_n), если:
а) a_1=21, a_8=48; в) a_1=-15, a_9=5;
б) a_1=14, a_11=-28; г) a_1=-8, a_16=-32.
*размещая тексты в комментариях ниже, вы автоматически соглашаетесь с пользовательским соглашением