Упр.283 ГДЗ Макарычев Миндюк 9 класс (Углубленный) (Алгебра)
Решение #1

Рассмотрим вариант решения задания из учебника Макарычев, Миндюк, Нешков 9 класс, Просвещение:
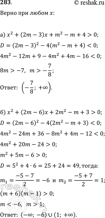
283. При каких значениях m неравенство верно при любом х:
а) x^2+(2m-3)x+m^2-m+4>0; б) x^2+(2m-6)x+2m^2-m+3>0?
*размещая тексты в комментариях ниже, вы автоматически соглашаетесь с пользовательским соглашением