Упр.295 ГДЗ Колягин Ткачёва 7 класс (Алгебра)
Решение #1

Рассмотрим вариант решения задания из учебника Колягин, Ткачёва, Фёдорова 7 класс, Просвещение:
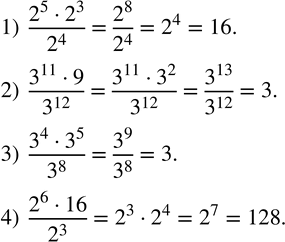
295. Вычислить:
1) (2^5•2^3)/2^4 ;
2) (3^11•9)/3^12 ;
3) (3^4•3^5)/3^8 ;
4) (2^6•16)/2^3 .
*размещая тексты в комментариях ниже, вы автоматически соглашаетесь с пользовательским соглашением