Упр.302 ГДЗ Никольский Потапов 9 класс (Алгебра)

Решение #1

Изображение 302. а) x^4-3x^2-4=0 б) x^6-3x^3-4=0 в) x^8+5x^4-6=0  г) x^8-7x^4-8=0 д) x^8-5x^4+4=0 е)x^8+7x^4-8=0...
Дополнительное изображение

Решение #2

Изображение 302. а) x^4-3x^2-4=0 б) x^6-3x^3-4=0 в) x^8+5x^4-6=0  г) x^8-7x^4-8=0 д) x^8-5x^4+4=0 е)x^8+7x^4-8=0...
Дополнительное изображение
Дополнительное изображение
Дополнительное изображение

Рассмотрим вариант решения задания из учебника Никольский, Потапов 9 класс, Просвещение:
302.
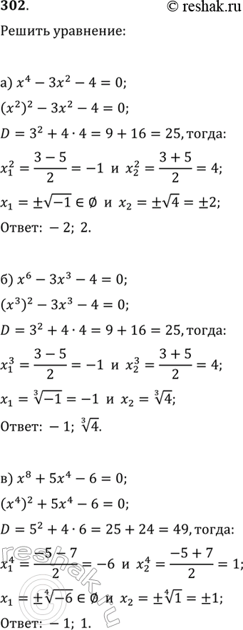
а) x^4-3x^2-4=0
б) x^6-3x^3-4=0
в) x^8+5x^4-6=0
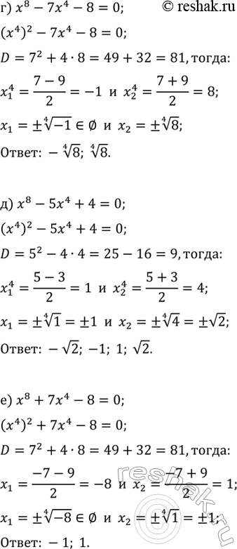
г) x^8-7x^4-8=0
д) x^8-5x^4+4=0
е)x^8+7x^4-8=0
*Цитирирование задания со ссылкой на учебник производится исключительно в учебных целях для лучшего понимания разбора решения задания.
*размещая тексты в комментариях ниже, вы автоматически соглашаетесь с пользовательским соглашением