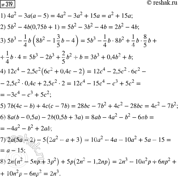
Упр.319 ГДЗ Муравин 7 класс (Алгебра)
Решение #1

Рассмотрим вариант решения задания из учебника Муравин, Муравина 7 класс, Дрофа:
319. Представьте выражение в стандартном для многочлена виде:
1) 4а^2 - 3а(а - 5);
2) 5b^2 - 4b(0,75b + 1);
3) 5b^3 - 1/4b(8b^2 - 1 3/5 b - 4);
4) 12с^4 - 2,5с^2(6с^2 + 0,4с - 2);
5) 76(4с - b) + 4с(с - 7b);
6) 8а(b - 0,5а) - 2b(0,5b + 3а);
7) 2а(5а - 2) - 5(2а^2 - а + 3);
8) 2n(n^2 - 5nр + 3р^2) + 5р(2n^2 - 1,2nр).
*размещая тексты в комментариях ниже, вы автоматически соглашаетесь с пользовательским соглашением