Упр.323 ГДЗ Муравин 7 класс (Алгебра)
Решение #1

Рассмотрим вариант решения задания из учебника Муравин, Муравина 7 класс, Дрофа:
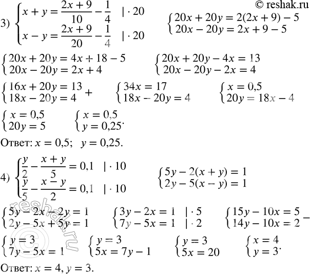
323. Решите систему уравнений:
1) {x/3 + y/2 = -1; (x+1)/4 + y/2 = 0};
2) {x/4 - y/5 = 1; x/3 + (2-y)/2 = 0};
3) {x + y = (2x+9)/10 - 1/4; x - y = (2x+9)/20 - 1/4};
4) {y/2 - (x+y)/5 = 0,1; y/5 - (x-y)/2 = 0,1}.
*размещая тексты в комментариях ниже, вы автоматически соглашаетесь с пользовательским соглашением