Упр.331 ГДЗ Колягин Ткачёва 7 класс (Алгебра)
Решение #1

Рассмотрим вариант решения задания из учебника Колягин, Ткачёва, Фёдорова 7 класс, Просвещение:
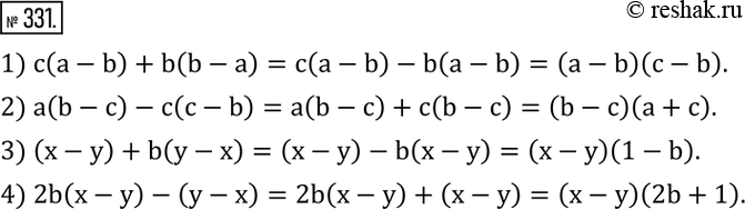
331. Разложить на множители:
1) c(a-b)+b(b-a);
2) a(b-c)-c(c-b);
3) (x-y)+b(y-x);
4) 2b(x-y)-(y-x).
*размещая тексты в комментариях ниже, вы автоматически соглашаетесь с пользовательским соглашением