Упр.34.7 ГДЗ Мордкович Семенов 9 класс (Алгебра)
Решение #1

Рассмотрим вариант решения задания из учебника Мордкович, Семенов, Александрова 9 класс, Бином:
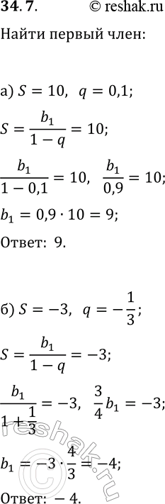
34.7. Найдите первый член геометрической прогрессии (b_n), если:
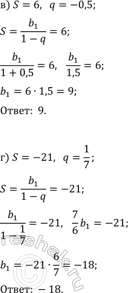
а) S=10, q=0,1; в) S=6, q=-0,5;
б) S=-3, q=-1/3; г) S=-21, q=1/7.
*размещая тексты в комментариях ниже, вы автоматически соглашаетесь с пользовательским соглашением