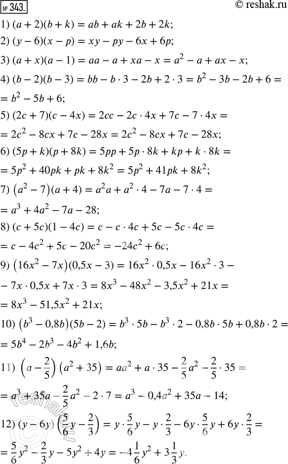
Упр.343 ГДЗ Муравин 7 класс (Алгебра)
Решение #1

Рассмотрим вариант решения задания из учебника Муравин, Муравина 7 класс, Дрофа:
343. Представьте произведение в виде многочлена:
1) (a + 2)(b + k); 7) (a^2 - 7)(a + 4);
2) (y - 6)(x - p); 8) (c + 5c)(1 - 4c);
3) (a + x)(a - 1); 9) (16x^2 - 7x)(0,5x - 3);
4) (b - 2)(b - 3); 10) (b^3 - 0,8b)(5b - 2);
5) (2c + 7)(c - 4x); 11) (a - 2/5)(a^2 + 35);
6) (5p + k)(p + 8k); 12) (y - 6y)(5/6 y - 2/3).
*размещая тексты в комментариях ниже, вы автоматически соглашаетесь с пользовательским соглашением