Упр.344 ГДЗ Муравин 7 класс (Алгебра)
Решение #1

Рассмотрим вариант решения задания из учебника Муравин, Муравина 7 класс, Дрофа:
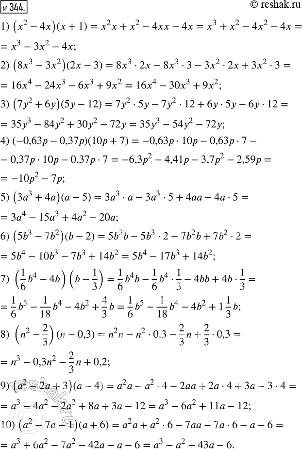
344. Преобразуйте в многочлен стандартного вида:
1) (х^2 - 4х)(х + 1); 6) (5b^3 - 7b^2)(b - 2);
2) (8x^3 - 3x^2)(2x - 3); 7) (1/6 b^4 - 4b)(b - 1/3);
3) (7y^2 + 6y)(5y - 12); 8) (n^2 - 2/3)(n - 0,3);
4) (-0,63p - 0,37p)(10p + 7); 9) (a^2 - 2a + 3)(a - 4);
5) (3a^3 + 4a)(a - 5); 10) (a^2 - 7a - 1)(a + 6).
*размещая тексты в комментариях ниже, вы автоматически соглашаетесь с пользовательским соглашением