Упр.35 ГДЗ Колягин Ткачёва 7 класс (Алгебра)
Решение #1

Рассмотрим вариант решения задания из учебника Колягин, Ткачёва, Фёдорова 7 класс, Просвещение:
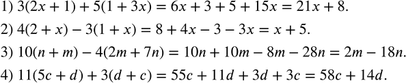
35. Упростить выражение:
1) 3(2x+1)+5(1+3x);
2) 4(2+x)-3(1+x);
3) 10(n+m)-4(2m+7n);
4) 11(5c+d)+3(d+c).
*размещая тексты в комментариях ниже, вы автоматически соглашаетесь с пользовательским соглашением