Упр.364 ГДЗ Никольский Потапов 9 класс (Алгебра)

Решение #1

Изображение 364.а) v(x-2)+v(x+3)=v(3x+7)б) v(x-4)+v(x+1)=v(3x+1)в) v(2x-1)+v(2x+4)=v(6x+10)г)...
Дополнительное изображение

Решение #2

Изображение 364.а) v(x-2)+v(x+3)=v(3x+7)б) v(x-4)+v(x+1)=v(3x+1)в) v(2x-1)+v(2x+4)=v(6x+10)г)...
Дополнительное изображение
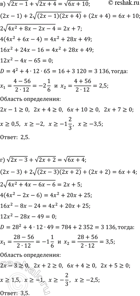
Дополнительное изображение

Рассмотрим вариант решения задания из учебника Никольский, Потапов 9 класс, Просвещение:
364.
а) v(x-2)+v(x+3)=v(3x+7)
б) v(x-4)+v(x+1)=v(3x+1)
в) v(2x-1)+v(2x+4)=v(6x+10)
г) v(2x-3)+v(2x+2)=v(6x+4)
*Цитирирование задания со ссылкой на учебник производится исключительно в учебных целях для лучшего понимания разбора решения задания.
*размещая тексты в комментариях ниже, вы автоматически соглашаетесь с пользовательским соглашением