Упр.381 ГДЗ Колягин Ткачёва 7 класс (Алгебра)
Решение #1

Рассмотрим вариант решения задания из учебника Колягин, Ткачёва, Фёдорова 7 класс, Просвещение:
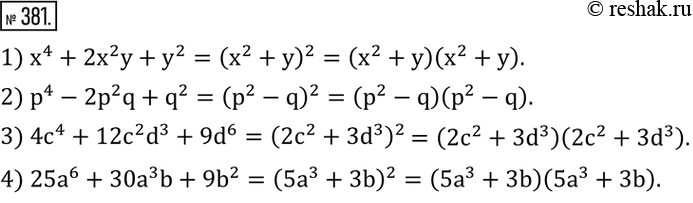
381. Разложить на множители многочлен:
1) x^4+2x^2 y+y^2;
2) p^4-2p^2 q+q^2;
3) 4c^4+12c^2 d^3+9d^6;
4) 25a^6+30a^3 b+9b^2.
*размещая тексты в комментариях ниже, вы автоматически соглашаетесь с пользовательским соглашением