Упр.384 ГДЗ Муравин 7 класс (Алгебра)
Решение #1

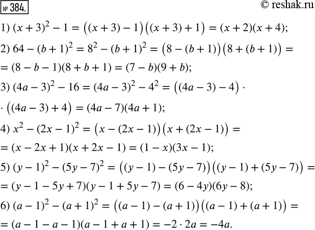
Рассмотрим вариант решения задания из учебника Муравин, Муравина 7 класс, Дрофа:
384. Представьте выражение в виде произведения многочленов:
1) (x + 3)^2 - 1; 4) x^2 - (2x - 1)^2;
2) 64 - (b + 1)^2; 5) (y - 1)^2 - (5y - 7)^2;
3) (4a - 3)^2 - 16; 6) (a - 1)^2 - (a + 1)^2.
*размещая тексты в комментариях ниже, вы автоматически соглашаетесь с пользовательским соглашением