Упр.391 ГДЗ Никольский Потапов 9 класс (Алгебра)

Решение #1

Изображение 391.а) (ab^(1/2))^(-2)б) (x^(1/3) y)^(-1)в) (3a^(1/2) b^(2/3))^(1/2)  г) (2x^(4/5)...

Решение #2

Изображение 391.а) (ab^(1/2))^(-2)б) (x^(1/3) y)^(-1)в) (3a^(1/2) b^(2/3))^(1/2)  г) (2x^(4/5)...

Рассмотрим вариант решения задания из учебника Никольский, Потапов 9 класс, Просвещение:
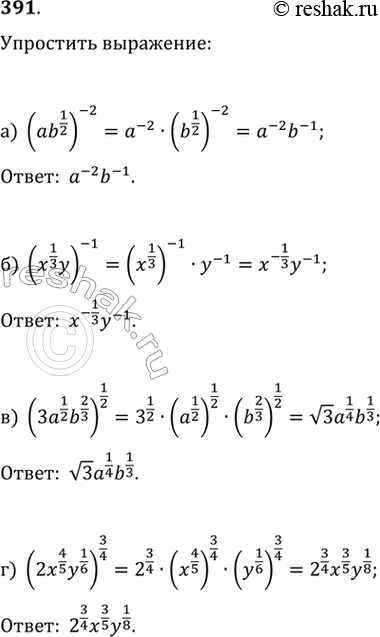
391.
а) (ab^(1/2))^(-2)
б) (x^(1/3) y)^(-1)
в) (3a^(1/2) b^(2/3))^(1/2)
г) (2x^(4/5) y^(1/6))^(3/4)
*Цитирирование задания со ссылкой на учебник производится исключительно в учебных целях для лучшего понимания разбора решения задания.
*размещая тексты в комментариях ниже, вы автоматически соглашаетесь с пользовательским соглашением