Упр.4.6 ГДЗ Мордкович Семенов 7 класс (Алгебра)
Решение #1

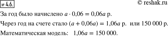
Рассмотрим вариант решения задания из учебника Мордкович, Семенов, Александрова 7 класс, Бином:
4.6. Составьте математическую модель данной ситуации.
На банковский депозит положили а р. под 6 % годовых. Через год на счёте стало 150 000 р.
*размещая тексты в комментариях ниже, вы автоматически соглашаетесь с пользовательским соглашением