Упр.405 ГДЗ Дорофеев Суворова 9 класс (Алгебра)
Решение #1

Рассмотрим вариант решения задания из учебника Дорофеев, Суворова, Бунимович 9 класс, Просвещение:
Действуем по алгоритму (405 — 407) Решите уравнение.
405.
а) (x + 2)/(x + 1) + (x + 3)/(x - 1) = 4/(x^2 - 1);
б) (4 - x)/(x + 2) + (x - 1)/(x - 2) = x^2/(x^2 - 4);
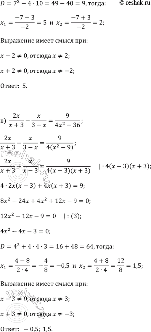
в) 2x/(x + 3) - x/(3 - x) = 9/(4x^2 - 36);
г) 5/(x^2 - 4) + x/(2 - x) = 2x/(x + 2).
*размещая тексты в комментариях ниже, вы автоматически соглашаетесь с пользовательским соглашением