Упр.415 ГДЗ Колягин Ткачёва 7 класс (Алгебра)
Решение #1

Рассмотрим вариант решения задания из учебника Колягин, Ткачёва, Фёдорова 7 класс, Просвещение:
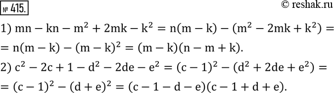
415. Разложить на множители многочлен:
1) mn-kn-m^2+2mk-k^2;
2) c^2-2c+1-d^2-2de-e^2.
*размещая тексты в комментариях ниже, вы автоматически соглашаетесь с пользовательским соглашением