Упр.445 ГДЗ Колягин Ткачёва 7 класс (Алгебра)
Решение #1

Рассмотрим вариант решения задания из учебника Колягин, Ткачёва, Фёдорова 7 класс, Просвещение:
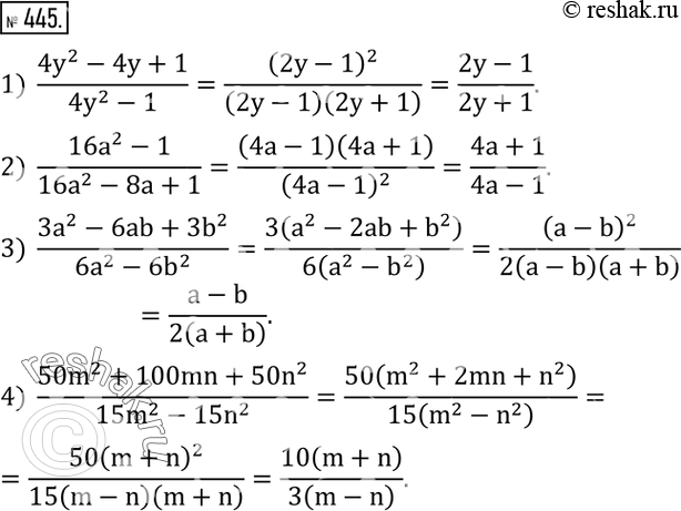
445. Разложить на множители числитель и знаменатель дроби и сократить ее:
1) (4y^2-4y+1)/(4y^2-1);
2) (16a^2-1)/(16a^2-8a+1);
3) (3a^2-6ab+3b^2)/(6a^2-6b^2 );
4) (50m^2+100mn+50n^2)/(15m^2-15n^2 ).
*размещая тексты в комментариях ниже, вы автоматически соглашаетесь с пользовательским соглашением