Упр.446 ГДЗ Колягин Ткачёва 7 класс (Алгебра)
Решение #1

Рассмотрим вариант решения задания из учебника Колягин, Ткачёва, Фёдорова 7 класс, Просвещение:
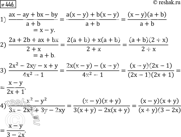
446. Разложить на множители числитель и знаменатель дроби и сократить ее:
1) (ax-ay+bx-by)/(a+b);
2) (2a+2b+ax+bx)/(2+x);
3) (2x^2-2xy-x+y)/(4x^2-1);
4) (x^2-y^2)/(3x-2x^2+3y-2xy).
*размещая тексты в комментариях ниже, вы автоматически соглашаетесь с пользовательским соглашением