Упр.446 ГДЗ Макарычев Миндюк 9 класс (Углубленный) (Алгебра)
Решение #1

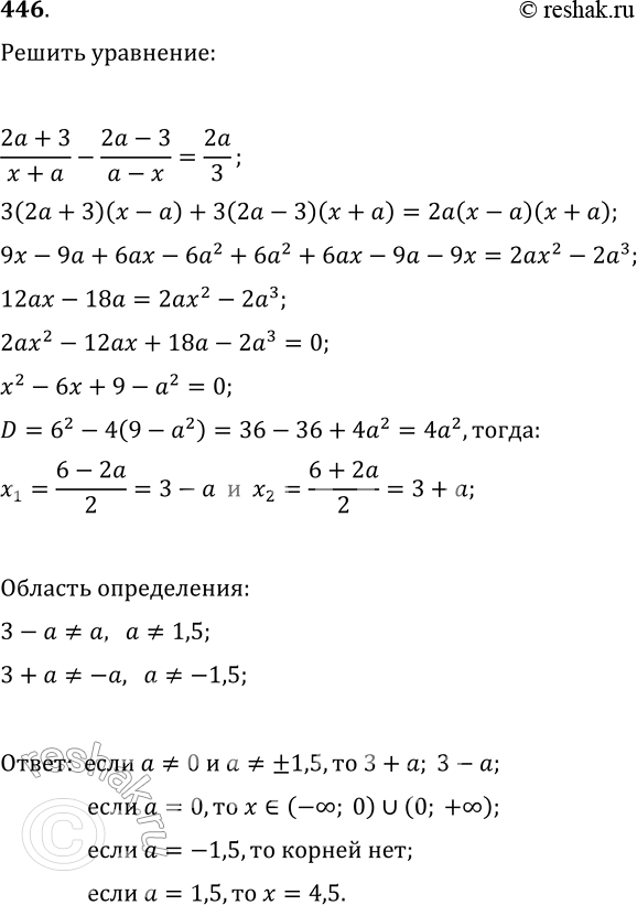
Рассмотрим вариант решения задания из учебника Макарычев, Миндюк, Нешков 9 класс, Просвещение:
446. Решите уравнение с параметром a: (2a-3)/(x+a)-(2a-3)/(a-x)=2a/3.
*размещая тексты в комментариях ниже, вы автоматически соглашаетесь с пользовательским соглашением