Упр.469 ГДЗ Муравин 7 класс (Алгебра)
Решение #1

Рассмотрим вариант решения задания из учебника Муравин, Муравина 7 класс, Дрофа:
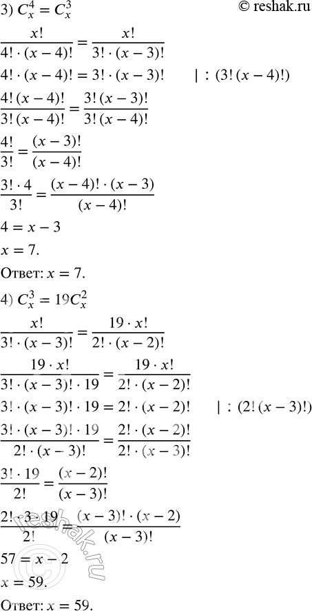
469. Решите уравнение:
1) С_x^2 = 21; 3) С_x^4 = С_x^3;
2) С_x^(x-2) = 6; 4) С_x^3 = 19С_x^2.
*размещая тексты в комментариях ниже, вы автоматически соглашаетесь с пользовательским соглашением