Упр.512 ГДЗ Никольский Потапов 9 класс (Алгебра)

Решение #1

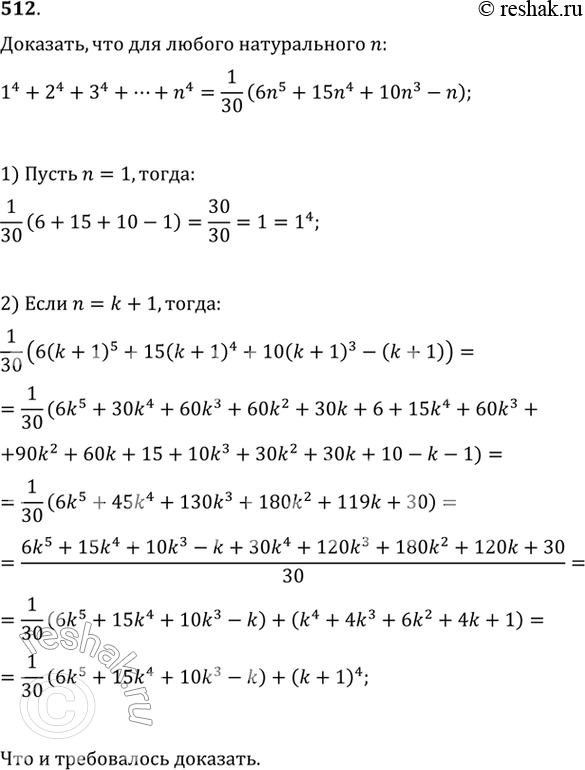
Изображение 512.Задача аль Каши (XIV—XVвв.). Докажите, что для любого натурального n выполняется равенство1^4+2^4+3^4+...+n^5=1/30...

Решение #2

Изображение 512.Задача аль Каши (XIV—XVвв.). Докажите, что для любого натурального n выполняется равенство1^4+2^4+3^4+...+n^5=1/30...

Рассмотрим вариант решения задания из учебника Никольский, Потапов 9 класс, Просвещение:
512.
Задача аль Каши (XIV—XVвв.). Докажите, что для любого натурального n выполняется равенство
1^4+2^4+3^4+...+n^5=1/30 (6n^5+15n^4+10n^3-n).
*Цитирирование задания со ссылкой на учебник производится исключительно в учебных целях для лучшего понимания разбора решения задания.
*размещая тексты в комментариях ниже, вы автоматически соглашаетесь с пользовательским соглашением