Упр.535 ГДЗ Дорофеев Суворова 9 класс (Алгебра)
Решение #1

Рассмотрим вариант решения задания из учебника Дорофеев, Суворова, Бунимович 9 класс, Просвещение:
535.
a) (x^2 - 5x)^2 + (x^2 - 25)^2 = 0;
6) (x^2 - 4)^2 + (x^2 + 4x)^2 = 0;
в) (x^2 - 5x + 6)^2 + (x^2 - 3x + 2)^2 = 0;
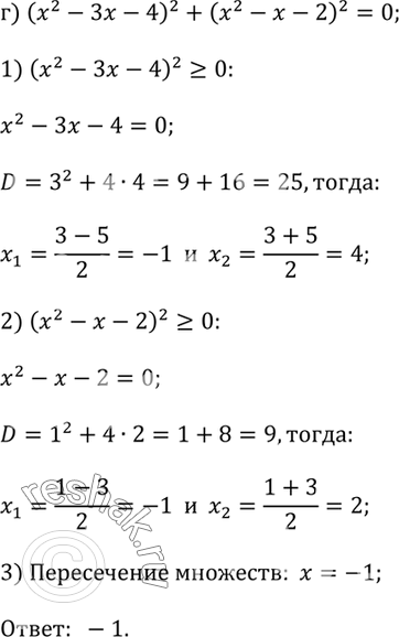
г) (x^2 - 3x - 4)^2 + (x^2 - x - 2)^2 = 0.
Указание. Воспользуйтесь тем, что при любом а верно неравенство а^2 ? 0.
*размещая тексты в комментариях ниже, вы автоматически соглашаетесь с пользовательским соглашением