Упр.538 ГДЗ Никольский Потапов 9 класс (Алгебра)

Решение #1

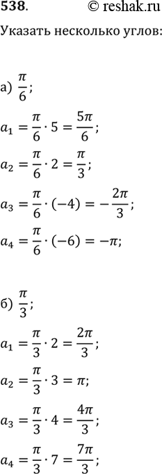
Изображение 538. Назовите несколько положительных и отрицательных углов, образованных такими поворотами, при каждом из которых угол между начальным и конечным положениями подвижного...
Дополнительное изображение

Решение #2

Изображение 538. Назовите несколько положительных и отрицательных углов, образованных такими поворотами, при каждом из которых угол между начальным и конечным положениями подвижного...
Дополнительное изображение

Рассмотрим вариант решения задания из учебника Никольский, Потапов 9 класс, Просвещение:
538. Назовите несколько положительных и отрицательных углов, образованных такими поворотами, при каждом из которых угол между начальным и конечным положениями подвижного вектора равен:
а) пи/6
б) пи/3
в) -пи/4
г) -пи-2
*Цитирирование задания со ссылкой на учебник производится исключительно в учебных целях для лучшего понимания разбора решения задания.
*размещая тексты в комментариях ниже, вы автоматически соглашаетесь с пользовательским соглашением