Упр.539 ГДЗ Колягин Ткачёва 9 класс (Алгебра)
Решение #1

Рассмотрим вариант решения задания из учебника Колягин, Ткачёва, Фёдорова 9 класс, Просвещение:
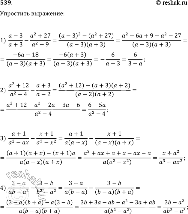
539. Упростить выражение:
1) (a-3)/(a+3)-(a^2+27)/(a^2-9); 2) (a^2+12)/(a^2-4)-(a+3)/(a-2);
3) (a+1)/(a^2-ax)-(x+1)/(a^2-x^2); 4) (3-a)/(ab-a^2)-(3-b)/(b^2-a^2).
*размещая тексты в комментариях ниже, вы автоматически соглашаетесь с пользовательским соглашением