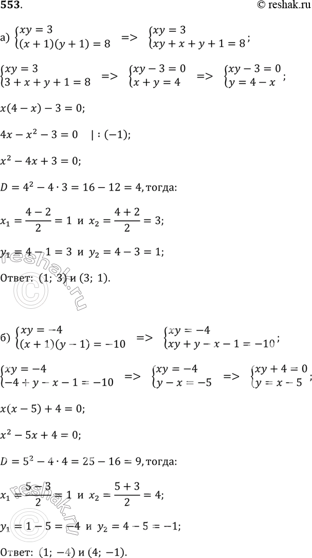
Упр.553 ГДЗ Дорофеев Суворова 9 класс (Алгебра)
Решение #1

Рассмотрим вариант решения задания из учебника Дорофеев, Суворова, Бунимович 9 класс, Просвещение:
553.
а) xy = 3 и (x + 1)(y + 1) = 8;
б) xy = -4 и (x + 1)(y - 1) = -10.
*размещая тексты в комментариях ниже, вы автоматически соглашаетесь с пользовательским соглашением