Упр.58 ГДЗ Колягин Ткачёва 7 класс (Алгебра)
Решение #1

Рассмотрим вариант решения задания из учебника Колягин, Ткачёва, Фёдорова 7 класс, Просвещение:
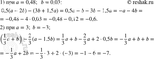
58. Упростить выражение и найти его числовое значение:
1) 0,5(a-2b)-(3b+1,5a) при a=0,48, b=0,03;
2) (1/3 a+b)-2/3(a-1,5b) при a=3, b=-3.
*размещая тексты в комментариях ниже, вы автоматически соглашаетесь с пользовательским соглашением