Упр.6.28 ГДЗ Мерзляк 11 класс Углубленный уровень (Алгебра)
Решение #1

Рассмотрим вариант решения задания из учебника Мерзляк, Номировский, Поляков 11 класс, Вентана-Граф, Просвещение:
6.28. Решите уравнение:
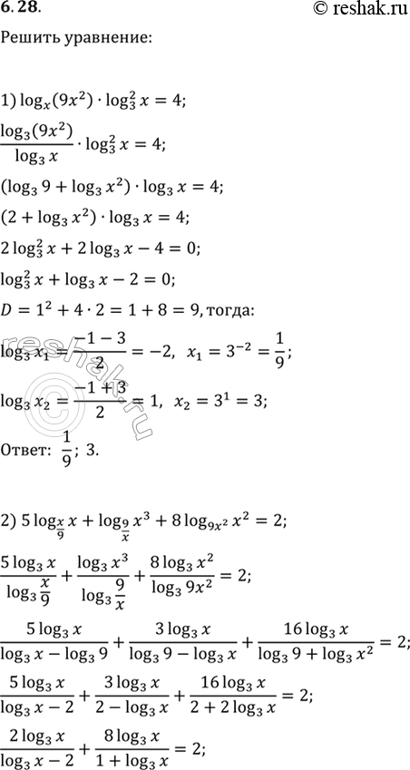
1) log_x (9x^2)·(log_3 x)^2=4;
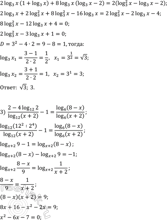
2) 5log_(x/9) x+log_(9/x) x^3+8log_(9x^2) x^2=2;
3) (2-4log_12 2)/(log_12 (x+2))-1=log_6 (8-x)/log_6 (x+2);
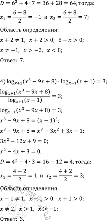
4) log_(x+1) (x^3-9x+8)·log_(x-1) (x+1)=3.
*размещая тексты в комментариях ниже, вы автоматически соглашаетесь с пользовательским соглашением