Упр.6.5 ГДЗ Мерзляк 11 класс Углубленный уровень (Алгебра)
Решение #1

Рассмотрим вариант решения задания из учебника Мерзляк, Номировский, Поляков 11 класс, Вентана-Граф, Просвещение:
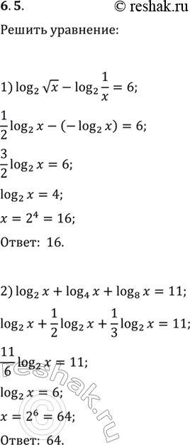
6.5. Решите уравнение:
1) log_2 vx-log_2 (1/x)=6; 4) log_7 log_4 (x-2)=0;
2) log_2 x+log_4 x+log_8 x=11; 5) log_4 log_3 log_2 x=1/2.
3) log_6 x+2log_36 x+3log_216 x=3;
*размещая тексты в комментариях ниже, вы автоматически соглашаетесь с пользовательским соглашением