Упр.600 ГДЗ Колягин Ткачёва 9 класс (Алгебра)
Решение #1

Рассмотрим вариант решения задания из учебника Колягин, Ткачёва, Фёдорова 9 класс, Просвещение:
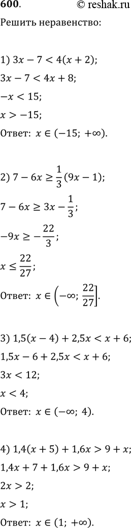
600. Решить неравенство:
1) 3x-7<4(x+2); 2) 7-6x?(1/3)(9x-1);
3) 1,5(x-4)+2,5x9+x.
*размещая тексты в комментариях ниже, вы автоматически соглашаетесь с пользовательским соглашением