Упр.600 ГДЗ Никольский Потапов 9 класс (Алгебра)

Решение #1

Изображение Упростите выражение (600—602):600.а) (1-cos^2а)/(1-sin^2а )б) ( sin^2?а-1)/(1-cos^2а )в) (2 sinа•cosа)/(1-sin^2а)г) sin^2а+cos^2а+ctg^2ад)  1/cos^2а -1е)...
Дополнительное изображение

Решение #2

Изображение Упростите выражение (600—602):600.а) (1-cos^2а)/(1-sin^2а )б) ( sin^2?а-1)/(1-cos^2а )в) (2 sinа•cosа)/(1-sin^2а)г) sin^2а+cos^2а+ctg^2ад)  1/cos^2а -1е)...

Рассмотрим вариант решения задания из учебника Никольский, Потапов 9 класс, Просвещение:
Упростите выражение (600—602):
600.
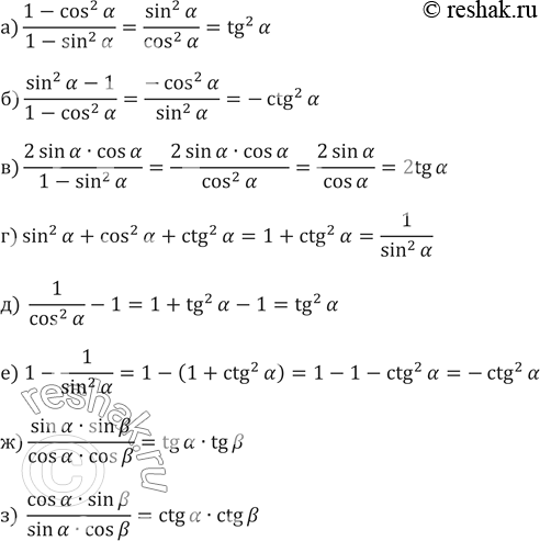
а) (1-cos^2а)/(1-sin^2а )
б) ( sin^2?а-1)/(1-cos^2а )
в) (2 sinа•cosа)/(1-sin^2а)
г) sin^2а+cos^2а+ctg^2а
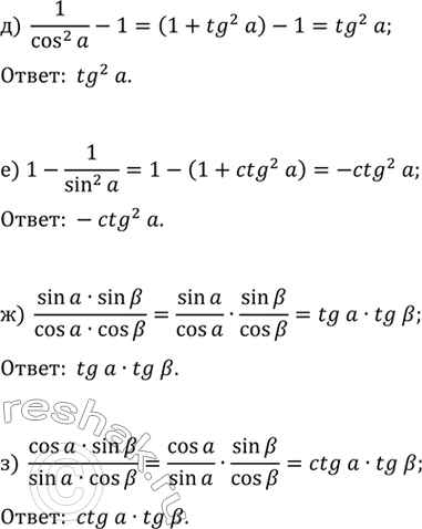
д) 1/cos^2а -1
е) 1- 1/sin^2а
ж) (sinа•sinb)/(cosа•cosb)
з) (cosа•sinb)/(sinа•cosb)
*Цитирирование задания со ссылкой на учебник производится исключительно в учебных целях для лучшего понимания разбора решения задания.
*размещая тексты в комментариях ниже, вы автоматически соглашаетесь с пользовательским соглашением