Упр.608 ГДЗ Колягин Ткачёва 9 класс (Алгебра)
Решение #1

Рассмотрим вариант решения задания из учебника Колягин, Ткачёва, Фёдорова 9 класс, Просвещение:
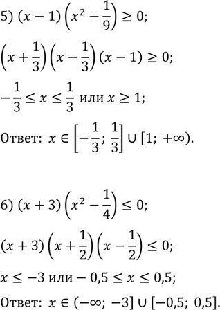
608. Решить методом интервалов неравенство:
1) (x-1)(X+3)>0; 2) (x+4)(x-2)<0;
3) (x+1,5)(x-2)x>0; 4) x(x-8)(x-7)>0;
5) (x-1)(x^2-1/9)?0; 6) (x+3)(x^2-1/4)?0.
*размещая тексты в комментариях ниже, вы автоматически соглашаетесь с пользовательским соглашением