Упр.609 ГДЗ Колягин Ткачёва 9 класс (Алгебра)
Решение #1

Рассмотрим вариант решения задания из учебника Колягин, Ткачёва, Фёдорова 9 класс, Просвещение:
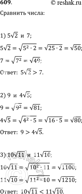
609. Сравнить числа:
1) 5v2 и 7; 2) 9 и 4v5; 3) 10v11 и 11v10;
4) 5v6 и 6v5; 5) 3(3^(1/3)) и 2(10^(1/3)); 6) 2(3^(1/3)) и v2·5^(1/3).
*размещая тексты в комментариях ниже, вы автоматически соглашаетесь с пользовательским соглашением