Упр.631 ГДЗ Колягин Ткачёва 7 класс (Алгебра)
Решение #1

Рассмотрим вариант решения задания из учебника Колягин, Ткачёва, Фёдорова 7 класс, Просвещение:
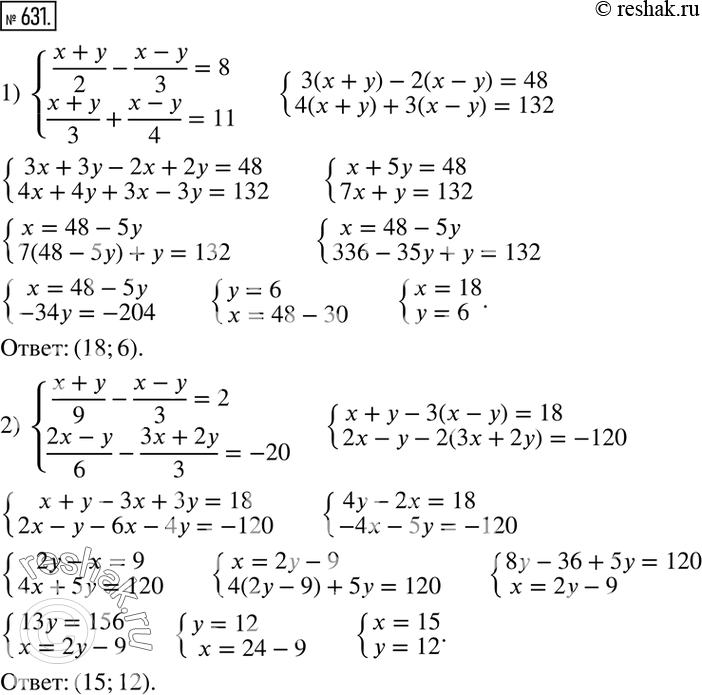
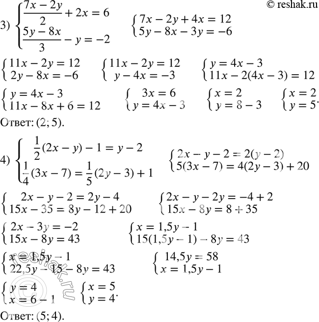
631. Решить систему уравнений:
1) {((x+y)/2-(x-y)/3=8
(x+y)/3+(x-y)/4=11)+
2) {((x+y)/9-(x-y)/3=2
(2x-y)/6-(3x+2y)/3=-20)+
3) {((7x-2y)/2+2x=6
(5y-8x)/3-y=-2)+
4) {(1/2 (2x-y)-1=y-2
1/4 (3x-7)=1/5 (2y-3)+1)+
*размещая тексты в комментариях ниже, вы автоматически соглашаетесь с пользовательским соглашением