Упр.650 ГДЗ Никольский Потапов 9 класс (Алгебра)

Решение #1

Изображение Докажите справедливость равенства (650—651):а) (sinа+sinb)/(cosа-cosb )=ctg(b-а)/2   б) (cosа+sinа)/(cosа-sinа )=tg(pi/4+а) ...

Решение #2

Изображение Докажите справедливость равенства (650—651):а) (sinа+sinb)/(cosа-cosb )=ctg(b-а)/2   б) (cosа+sinа)/(cosа-sinа )=tg(pi/4+а) ...

Рассмотрим вариант решения задания из учебника Никольский, Потапов 9 класс, Просвещение:
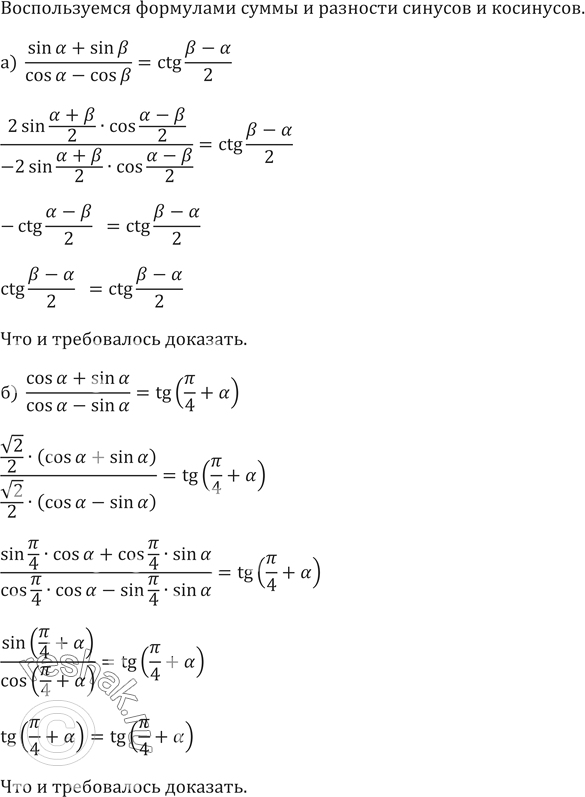
Докажите справедливость равенства (650—651):
а) (sinа+sinb)/(cosа-cosb )=ctg(b-а)/2
б) (cosа+sinа)/(cosа-sinа )=tg(pi/4+а)
*Цитирирование задания со ссылкой на учебник производится исключительно в учебных целях для лучшего понимания разбора решения задания.
*размещая тексты в комментариях ниже, вы автоматически соглашаетесь с пользовательским соглашением