Упр.655 ГДЗ Никольский Потапов 9 класс (Алгебра)

Решение #1

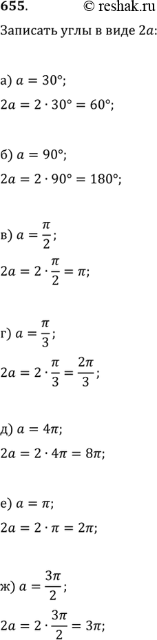
Изображение 655. Запишите следующие углы в виде 2а, где угол а равен: а) 30°; б) 90°; в) пи/2 г) пи/3; д) 4пи; е) пи; ж)...

Решение #2

Изображение 655. Запишите следующие углы в виде 2а, где угол а равен: а) 30°; б) 90°; в) пи/2 г) пи/3; д) 4пи; е) пи; ж)...

Рассмотрим вариант решения задания из учебника Никольский, Потапов 9 класс, Просвещение:
655. Запишите следующие углы в виде 2а, где угол а равен: а) 30°; б) 90°; в) пи/2 г) пи/3; д) 4пи; е) пи; ж) 3пи/2
*Цитирирование задания со ссылкой на учебник производится исключительно в учебных целях для лучшего понимания разбора решения задания.
*размещая тексты в комментариях ниже, вы автоматически соглашаетесь с пользовательским соглашением