Упр.662 ГДЗ Колягин Ткачёва 9 класс (Алгебра)
Решение #1

Рассмотрим вариант решения задания из учебника Колягин, Ткачёва, Фёдорова 9 класс, Просвещение:
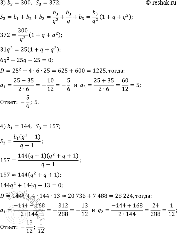
662. Вычислить знаменатель геометрической прогрессии, если:
1) b_1=12, S_3=372; 2) b_1=1, S_3=157;
3) b_3=300, S_3=372; 4) b_1=144, S_3=157.
*размещая тексты в комментариях ниже, вы автоматически соглашаетесь с пользовательским соглашением