Упр.668 ГДЗ Колягин Ткачёва 9 класс (Алгебра)
Решение #1

Рассмотрим вариант решения задания из учебника Колягин, Ткачёва, Фёдорова 9 класс, Просвещение:
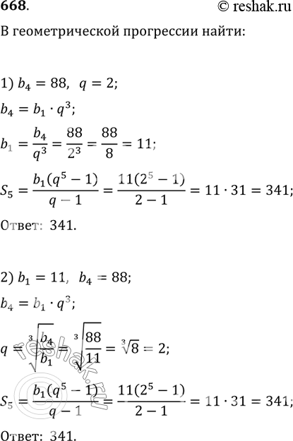
668. В геометрической прогрессии найти:
1) S_5, если b_4=88, q=2; 2) S_5, если b_1=11, b_4=88;
3) b_1, если S_5=341, q=2; 4) S_5, если b_3=44, b_5=176.
*размещая тексты в комментариях ниже, вы автоматически соглашаетесь с пользовательским соглашением